Rumus Turunan Trigonometri
Rumus Turunan Trigonometri. Turunan Fungsi Trigonometri - Trigonometri bisa dibilang menjadi salah satu materi yang cukup sulit dalam pelajaran matematika. Sekarang kita bikin pemisalan aja biar lebih mudah.
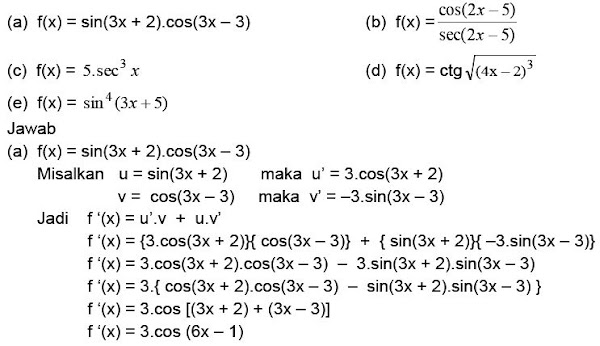
Berdasarkan definisi dari turunan, maka bisa kita dapatkan beberapa rumus turunan trigonometri yaitu sebagai berikut: (dengan u dan v masing-masing fungsi dari x), antara lain: y' = y = sin x→ y' = cos x; y = cos x → y' = -sin x
Semua turunan fungsi trigonometri lingkaran bisa ditemui dengan cara memakai turunan sin(x) dan cos(x). hasil-bagi lalu dpakai untuk menemukan turunannya.
Selain itu cakupan pembahasan trigonometri juga luas. Berikut ini adalah rumus dasar turunan fungsi trigonometri yang sudah kita buktikan pada tulisan sebelumnya, kamu bisa lihat pembuktian rumus turunan trigonometri pada link tersebut. Tenang, selain turunan rumus di atas, masih ada turunan rumus trigonometri lainnya hingga dua level.







Belum ada Komentar untuk "Rumus Turunan Trigonometri"
Posting Komentar